Miasto wprowadza kolejną podwyżkę. Tym razem podnoszą czynsze. „Rynkowe stawki najmu są wielokrotnie wyższe” – przekonuje wiceprezydent Katowic. Po raz kolejny mieszkańcy Katowic spotykają się twarzą w twarz z podwyżką. Do tej pory podniesiono ceny za bilety na komunikację miejską, od 1 lipca wchodzi podwyżka za odbiór odpadów, w planach jest podwyżka cen wody, a obecnie wchodzi w życie kolejna – za czynsze w lokalach komunalnych. Jak tłumaczy podwyżkę urząd pod kierownictwem Marcina Krupy?
Prezydent Katowic już podpisał zarządzenie w tej sprawie. Te od razu zaczęło obowiązywać.
„Udało się nam przed długi czas utrzymać stawki w lokalach komunalnych na dotychczasowym, bardzo niskim poziomie. Ostatnia zmiana opłat miała miejsce w 2016 r. Od tego czasu znacząco wzrosły koszty związane z utrzymaniem budynków, a wpływy rekompensowały już jedynie 71% wydatków na remonty i ich bieżące utrzymanie. Do tego należy doliczyć wzrost kosztów płac, energii elektrycznej, ogrzewania i utrzymania terenów przylegających do tych budynków. Dużą pozycję kosztową stanowią także budynki zabytkowe objęte ochroną konserwatorską, o które miasto tez musi zadbać. Dlatego biorąc te wszystkie czynniki pod uwagę, konieczna jest zmiana stawki miesięcznej za metr kwadratowy w lokalach mieszkalnych będących własnością miasta” – mówi Bogumił Sobula, pierwszy wiceprezydent Katowic. „Należy jednak zaznaczyć, że pomimo dokonywanej zmiany czynsze mieszkań komunalnych w Katowicach będą niższe niż w większości miast ościennych. Pamiętajmy także, że mówimy o lokalach w stolicy 2-milionowej metropolii, gdzie rynkowe stawki najmu są wielokrotnie wyższe od tego, co proponujemy naszym najemcom” – dodaje.
Nowa stawka wyniesie 3,00 zł/m2. Jej ustalenie zostało poprzedzone szczegółową analizą dynamicznego tempa rozwoju gospodarki mieszkaniowej na rynku lokalnym, jak i w całym kraju. Do tej pory obowiązywały dwie stawki, uzależnione m.in. od rozmiaru lokalu, jego położenia, ogólnego stanu budynku, dostępności do windy, etc. Teraz zaproponowano jedną, uśrednioną stawkę dla całego zasobu lokalowego w mieście. Jej wysokość została obliczona na bazie średniej z obecnych stawek i zaokrąglona do pełnej kwoty. Stawka ta jest wyjściową przy wyliczeniu stawki ostatecznej za m2 lokalu mieszkalnego, uwzględniającej wskazane w załączniku do zarządzenia czynniki jej różnicowania. Średnia miesięczna stawka wyniesie 6,14zł/m2.
Środki otrzymane z podwyżki zostaną w całości przeznaczone na realizację zadań remontowych i termomodernizacyjnych przez Komunalny Zakład Gospodarki Mieszkaniowej w Katowicach. Przypomnijmy, że w zasobach KZGM znajdują się aktualnie 16504 lokali, a w 2021 roku miasto planuje wydać ponad 34 mln na termomodernizacje budynków mieszkalnych w połączeniu z wymianą źródeł ciepła – co pozwala także skuteczniej walczyć ze smogiem.
„Termomodernizacja budynków w Katowicach to działanie długofalowe. Oprócz działań będących w trakcie realizacji, mamy już także konkretne plany związane w inwestycjami na przyszły rok. Obejmą one zarówno termomodernizację budynków mieszkalnych, jak również ich przyłączenia do sieci centralnego ogrzewania, modernizacje w oparciu o program ograniczenia niskiej emisji czy kompleksowe remonty. W sumie jest to ponad 30 inwestycji o łącznej wartości przekraczającej 34 mln złotych” – mówi Marcin Gawlik, dyrektor KZGM Katowice.
Głównym celem tych prac jest ograniczanie zużycia energii – zarówno cieplnej, jak i elektrycznej. Oszczędność energetyczna przekłada się również na ograniczenie emisji spalin. Prowadzone prace wpływają także na estetykę budynków ze względu na wykonanie nowych elewacji.
UŚREDNIONE STAWKI W WYBRANYCH MIASTACH *
| STAWKI ZA m.kw. W MIASTACH GZM | |
| Chorzów | 8,00 |
| Ruda Śląska | 7,38 |
| Czeladź | 7,13 |
| Sosnowiec | 7 |
| Katowice (po zmianie) | 6,14 |
| Mysłowice | 5,97 (strefa Śródmiejska),
5,93 (strefa Podmiejska) |
| Tychy | 5,90 |
| Lędziny | 4,55 |
| Siemianowice Śląskie | 3,84 |
*METODOLOGIA: uśrednione wyliczenia na podstawie łącznej powierzchni lokali w zasobie miejskim oraz wysokości naliczeń za jeden miesiąc (grudzień 2020).
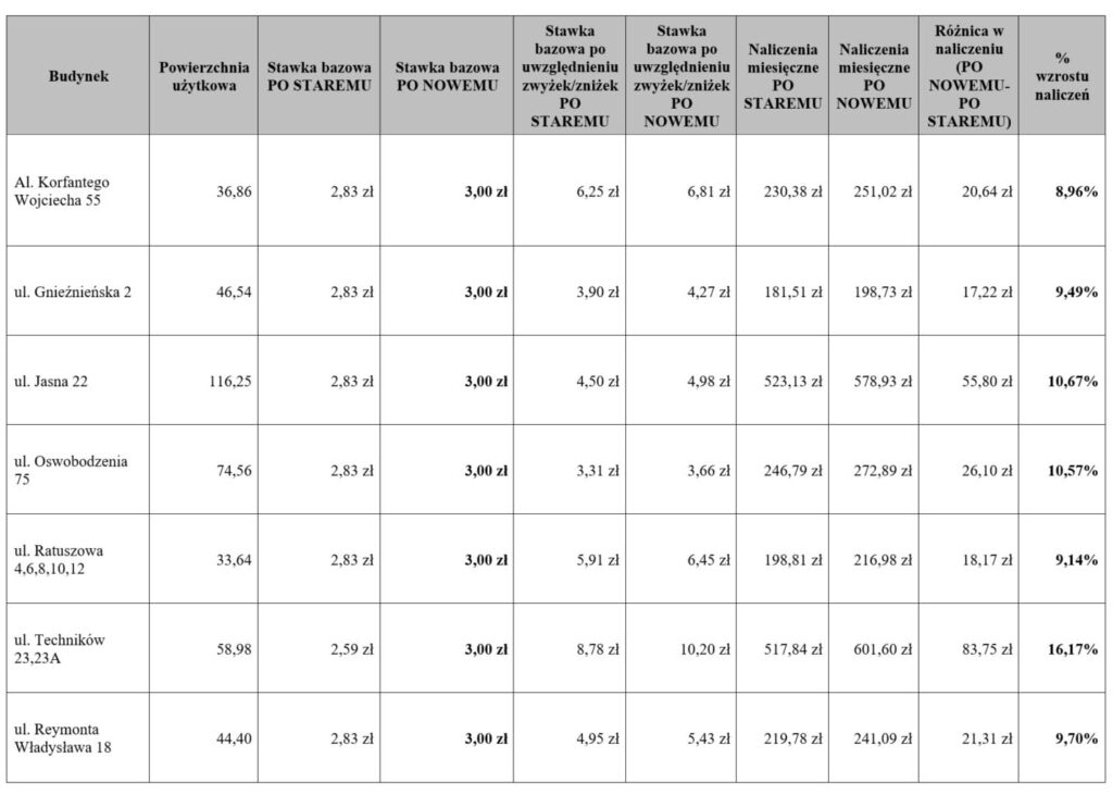
Wprowadzenie nowych stawek w praktyce oznacza wzrost miesięcznych opłat średnio od kilku do kilkunastu procent. Przykładowe symulacje dla lokali w Katowicach.





































Czyli chcecie powiedzieć, że 29% na utrzymanie bandy nierobów dawało miasto?? Nie dość, że płacą (albo i nie) śmieszne stawki za m2 to jeszcze są zaległości?? Wywalić na zbity pysk tych, co im się wiecznie należy, a od siebie nic nie dają. W dzisiejszych czasach gdzie pracy jest mnóstwo, 2 pracujących za najniższą krajową jest w stanie spokojnie opłacić mieszkanie komunalne, zrobić remont i normalnie żyć.